永久免费查看
更新时间:2026-04-12
2017年一级建造师《港口与航道工程管理与实务》真题提供该考试科目的试卷全部试题及答案大全,科目内容齐全,答案供学员学习免费使用,助力考试通关!
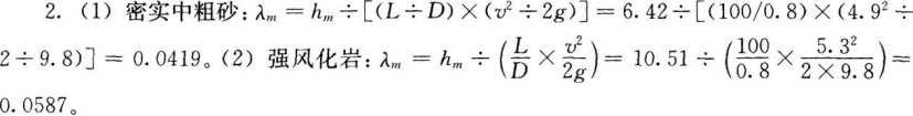
A.32.6
B.34.3
C.34.9
D.35.2
A.0.5
B.0.6
C.0.7
D.0.8
A.300和200
B.500和300
C.700和500
D.800和700
A.高应变
B.低应变
C.超声波
D.自平衡法
A.上层扭工字块体垂直杆件
B.下层扭工字块体水平杆件
C.上层扭工字块体水平杆件
D.下层扭工字块体垂直杆件
A.整治线走向宜与涨潮流主流向一致,其线型宜采用直线型,设计挖槽与潮流交角宜小于15°
B.整治线走向宜与落潮流主流向一致,其线型宜采用微弯型,设计挖槽与潮流交角宜小于15°
C.整治线走向宜与涨潮流主流向一致,其线型宜采用微弯型,设计挖槽与潮流交角宜大于15°
D.整治线走向宜与落潮流主流向一致,其线型宜采用直线型,设计挖槽与潮流交角宜大于15°
A.单点定位吹泥进点时控制航速,并提前抛艏锚,有条件时抛艉锚辅助定位
B.接通吹泥管线后先打开引水阀门吹水,确认管线正常后打开抽泥舱内疏浚泥门抽取泥砂
C.通过管线进行吹填时,抽舱完毕后继续吹水,直至管线内残留泥沙不会对下一步施工造成不利影响时再停泵
D.艏喷施工时,根据施工工况选取合理的管线长度、管线直径和泥泵转速
A.招标人可以决定不编制标底
B.一个招标项目只能有一个标底
C.招标人可以设最高投标限价
D.招标人可以规定最低投标限价
A.安装前,要对基床和预制构件进行检查
B.装驳前清除方块底面的粘底物
C.底层第一块方块不要求直接精确安放
D.方块安完后用块石填塞吊孔
E.在立面上,分段、分层、阶梯安装
A.盐水和淡水混合,最小混浊带位置变化和泥沙絮凝沉降的情况
B.水流扩散和涨落潮流路径不一致对水流动力的影响
C.上游来沙、潮流输沙、波浪掀沙和沿岸输沙的情况
D.底质组成和底沙输移形态及对河口地形的影响
E.径流量和潮流量比值及变化
A.对称钢桩横挖法
B.定位台车横挖法
C.三缆定位横挖法
D.十字形横挖法
E.锚缆横挖法
A.排水口的位置应根据吹填区几何形状、原泥面地形等因素确定
B.排水口应设在有利于泥浆流动,减少流程的地方
C.排水口一般多布设在吹填区的死角
D.排水口应选择在具有排水条件的地方
E.排水口一般多布设在远离排泥管线出口的地方
A.外观质量总体一般
B.外观质量总体较好
C.观察范围有少量一般表面缺陷,但不需进行修补
D.观察范围有少量表面缺陷,需要作局部修补.
E.抽查部位没有超过规定的允许偏差值的部位或测点
A.自愿原则
B.公开、公平、合理、合法原则
C.调解机关要指定三名以上单数的调解员
D.当调解成立时,双方自愿签订调解协议或新的合同
E.调解终结后,不论当事人和解与否,都应做出调解终结书




