永久免费查看
更新时间:2026-04-16
2017年硕士研究生《数学(一)》真题提供该考试科目的试卷全部试题及答案大全,科目内容齐全,答案供学员学习免费使用,助力考试通关!
A.f(1)>f(-1)
B.f(1) C.|f(1)|>|f(-1)| D.|f(1)|<|f(-1)|
A.t0=10
B.15 C.t0=25 D.t0>25
为线性无关的三维列向量组,则向量组Aα1,Aα2,Aα3的秩为______.



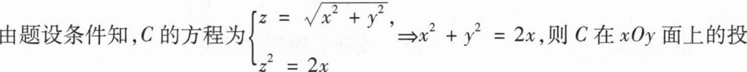
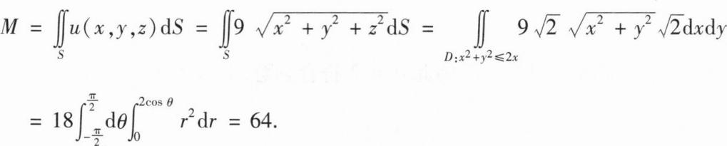
被柱面z2=2x割下的有限部分,其上任一点的密
,记圆锥面与柱面的交线为C.

