永久免费查看
更新时间:2026-04-16
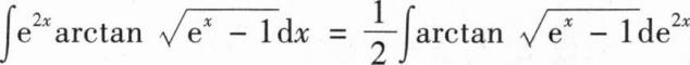
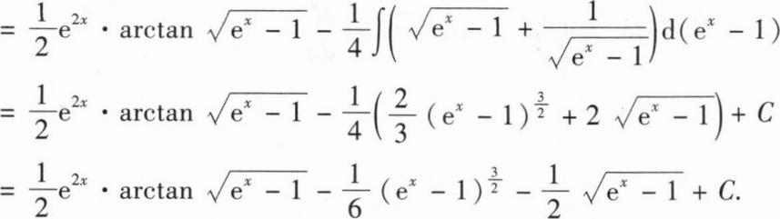
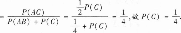
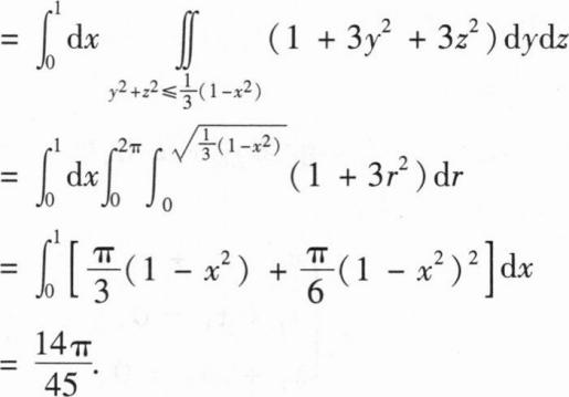
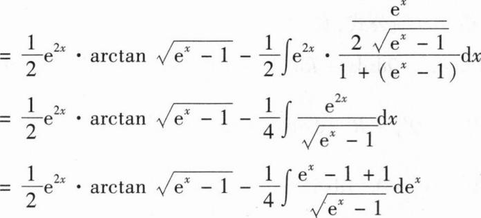
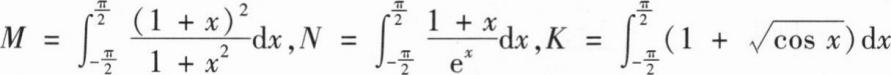
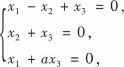
2018年硕士研究生《数学(一)》真题提供该考试科目的试卷全部试题及答案大全,科目内容齐全,答案供学员学习免费使用,助力考试通关!
A.z=0与x+y-z=1
B.z=0与2x+2y-z=2
C.y=x与x+y-z=1
D.y=x与2x+2y-z=2
A.r(A,AB)=r(A)
B.r(A,BA)=r(A)
C.r(A,B)=max{r(A),r(B)}
D.r(A,B)=r(AT,BT)
A.若显著性水平α=0.05下拒绝H0,则α=0.01下必拒绝H0
B.若显著性水平α=0.05下接受H0,则α=0.01下必拒绝H0
C.若显著性水平α=0.05下拒绝H0,则α=0.01下接受H0
D.若显著性水平α=0.05下接受H0,则α=0.01下也接受H0


